Die HErausforderungen im Rudern & Kayaking
Rudern und Kayaking sind präzisionsgetriebene Sportarten — Schlageffizienz, Beschleunigungsphasen, Rhythmuskonstanz und Pacing-Strategie entscheiden über Siege und Niederlagen. Doch die Realität im Training sieht oft anders aus: Herkömmliche Geräte liefern nur rudimentäre Daten, die Auswertung ist aufwendig und unübersichtlich. Trainer verbringen wertvolle Zeit mit manueller Nachbearbeitung statt mit Coaching

Trainer Brauchen:
Automatische Sektorzeiten
Schlagzahlanalyse
Geschwindigkeitsprofile
Direkter Athletenvergleich
Video mit Leistungsdaten synchronisiert
Das vollständige Rudern & Kayaking Performance-Ökosystem
Automatische Erfassung — kein manueller Aufwand
OCULUS wird mithilfe einer eigens angefertigten Halterung am Boot befestigt und startet automatisch, sobald GPS-Signal vorhanden ist. Mit 10 Hz Abtastrate und allen globalen Satellitensystemen — GPS, Galileo, Glonass und Baidu — erfasst er jeden Abschnitt mit einer Positionsgenauigkeit von unter 1.5 Metern. Start und Ziel werden eigenständig erkannt, nach dem Training lädt das Gerät die Daten automatisch per WLAN hoch. Die Analyse steht in Sekunden bereit — direkt am Steg auf dem Smartphone.

WLAN-Upload

Positionsgenauigkeit <1,5 m

GPS-Tracker

Einfach zu bedienen

Wasserdicht


Intelligente Trainingsanalyse in Sekunden
Mit der Analysesoftware von Lympik steht dir eine leistungsstarke Cloud-Software zur Verfügung, die Messdaten automatisch verarbeitet, visualisiert und auswertet – ohne manuelle Nachbearbeitung.
Die Software erkennt Start und Ziel automatisch, berechnet GPS-basierte Zwischenzeiten (Splits) und stellt sämtliche Leistungsmetriken wie Geschwindigkeit, Schlagfrequenz, Distance per Stroke und Herzfrequenz übersichtlich dar. In der interaktiven Kartenansicht kannst du Strecken, Splits und Trainingsabschnitte vergleichen – bis auf wenige Meter genau.
Die Software erkennt Start und Ziel automatisch, berechnet GPS-basierte Zwischenzeiten (Splits) und stellt sämtliche Leistungsmetriken wie Geschwindigkeit, Schlagfrequenz, Distance per Stroke und Herzfrequenz übersichtlich dar. In der interaktiven Kartenansicht kannst du Strecken, Splits und Trainingsabschnitte vergleichen – bis auf wenige Meter genau.

Zwischenzeiten

GPS-Tracker

Schlagfrequenz

Geschwindigkeit

Distance per Stroke
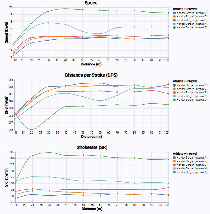
Speedanalyse – Geschwindigkeit präzise vergleichen
Mit der Speedanalyse lassen sich mehrere Fahrten über die gesamte Strecke hinweg direkt miteinander vergleichen. Die Auswertung beschränkt sich dabei nicht nur auf Zwischenzeiten, sondern zeigt die Geschwindigkeitsentwicklung punktgenau über den gesamten Lauf. Jeder einzelne Schlag wird erfasst und macht sichtbar, wo Geschwindigkeit aufgebaut oder verloren wurde.

Geschwindigkeit

Beschleungigung

Head to Head Vergleiche


Vollautomatisierte Synchronisation mit der Videoanalyse
Mit IRIS wird die Videoanalyse nahtlos in das Lympik Motion-System integriert. Alle relevanten Leistungsdaten aus der OCULUS-Messung und der Analyse-Software werden automatisch mit dem Video verknüpft und als Overlay direkt im Bild angezeigt. Geschwindigkeit, Stroke Rate oder Distance per Stroke sind dadurch in jedem Moment sichtbar – perfekt, um Technik und Leistung exakt zu beurteilen. Die Videos werden online in der Lympik Cloud gespeichert, wodurch Trainer und Athleten jederzeit Zugriff auf ihre Aufnahmen haben – ohne zusätzliche Geräte oder komplizierte Workflows.

Automatische Synchronisation von Video und GPS

Overlay

Synchronisation

Cloud speicher
Was du beim Rudern messen kannst
Sektorzeiten
Schlagfrequenz
GPS-Position
Geschwindigkeit
Video Overlays
Distanz pro Schlag
Herzfrequenz
Kartenanalyse
Wie Funktioniert es?
1. Setup
OCULUS an der bootseigenen Halterung befestigen, Athleten in der Lympik Web-App zuweisen. Die Streckenkonfiguration — inklusive virtueller Zwischenzeiten — erfolgt bequem in der App.
2. Aufzeichnung
Sobald GPS-Signal vorhanden ist, startet OCULUS automatisch mit der Aufzeichnung — ohne manuellen Eingriff. IRIS synchronisiert das Videomaterial.
3. Analyse
irekt nach dem Training lädt OCULUS alle Daten automatisch per WLAN hoch. Speed, Stroke Rate und Distance per Stroke stehen innerhalb von Sekunden in der Web-App bereit — auch auf dem Smartphone direkt am Wasser.
4. Vergleich
Head-to-head vergleich zwischen Athleten und Booten. Mehrere Läufe oder Athleten werden mittels interaktive Kartenansicht kontinuirlich verglichen oder per Tabelle ausgewertet.
5. Teilen
Ergebnisse, Videos und Analysen per Link, WhatsApp oder QR-Code teilen. Athletenprofile mit konfigurierbaren Sichtbarkeitseinstellungen.
See in action
https://vz-3e74ce5f-383.b-cdn.net/969ce16e-3e4c-4e42-ab92-8c59c66065c4/playlist.m3u8
Von Nationalmannschaften, Vereinen und Trainern geschätzt
Produkte in Verwendung

OCULUS
Motion tracking unit
OCULUS ist der kompakte, hochpräzise Bewegungssensor von Lympik, der entwickelt wurde, um jede Bewegung mit außergewöhnlicher Genauigkeit zu erfassen. Mithilfe fortschrittlicher GNSS-Technologie und integrierter Bewegungssensoren erfasst er Position, Geschwindigkeit, Beschleunigung und vieles mehr – und liefert selbst in anspruchsvollen Trainingsumgebungen zuverlässige Daten. OCULUS ist klein, robust und benutzerfreundlich und bildet die Grundlage für eine professionelle, datengestützte Leistungsanalyse im täglichen Training.

Motion AnalYSE
Cloud software for motion data
Es kombiniert leistungsstarke sportspezifische Analysen mit außergewöhnlicher Benutzerfreundlichkeit und ermöglicht Trainern mit nur wenigen Klicks, detaillierte Erkenntnisse zu gewinnen. Vordefinierte und anpassbare Vorlagen sorgen für konsistente, vergleichbare Ergebnisse über alle Trainingseinheiten hinweg und verarbeiten automatisch wichtige Kennzahlen wie Geschwindigkeit, Beschleunigung und Zwischenzeiten. Das Ergebnis: Leistungsanalysen auf professionellem Niveau, die einfach und effizient sind und sich für den täglichen Einsatz im Training eignen.

IRIS
Video syncronization unit
IRIS ist das professionelles Videoanalysesystem von Lympik. Es wurde entwickelt, um hochwertiges Videomaterial in Echtzeit aufzunehmen und mit Leistungsdaten zu synchronisieren. In Kombination mit der Bewegungsanalyse können Trainer Kennzahlen wie Geschwindigkeit und Zeit auf jedes Einzelbild des Videos synchronisieren und so tiefere, sportspezifische Einblicke gewinnen. Das Ergebnis ist ein vollständig integrierter Video- und Daten-Workflow, der die technische Analyse im täglichen Training beschleunigt, übersichtlicher gestaltet und wirkungsvoller macht.

Video ANALYSE
Cloud software for video analysis
Es kombiniert synchronisierte Video-Aufnahmen und Leistungsdaten, um technische Details in jeder Bewegung sichtbar und messbar zu machen. Trainer können Szenen Frame für Frame überprüfen, Athleten nebeneinander vergleichen und wichtige Kennzahlen wie Geschwindigkeit oder Zwischenzeiten direkt in das Video einblenden. Das Ergebnis sind klareres Feedback, schnellere Korrekturen und ein effektiveres, datengestütztes Training.
Frequently Asked Questions
Was ist der OCULUS GPS Tracker und wie kann er im Rudern eingesetzt werden?

OCULUS zeichnet hochpräzise Positions- und Geschwindigkeitsdaten mehrerer Läufe auf. Dadurch wird jeder einzelne Punkt der Strecke vergleich- und analysierbar.
Wie werden die Daten vom OCULUS Tracker auf mein Smartphone, Tablet oder PC übertragen?

Durch einen einzigen Knopfdruck startet das Gerät bei vorhandenem WiFi Netzwerk die Datensynchronisation und ist innerhalb weniger Sekunden in der WebApp auslesbar.
Wie wird der OCULUS am Boot befestigt?

Der kompakte Tracker wird mithilfe einer eigens dafür angefertigten Halterung am Boot befestigt.
TECHNOLOGY THAT EMPOWERS ATHLETES & COACHES
Precision & Simplicity
Innovation Driven
Empowerment & Collaboration
.png)




