How GNSS and Motion Tracking are Changing High Performance Sprint Kayaking
In sprint kayaking, every stroke counts. Small technical details can separate a winning performance from an average one. With Lympik’s Oculus system, coaches and athletes can analyse performance with unmatched precision and see actionable results within minutes.
Developed in cooperation with the Swedish kayak national team, Oculus combines high-frequency GNSS (10 Hz) and IMU data (up to 2 kHz) to measure every stroke along with precise position and speed. Whether in training or competition, this delivers clear, objective feedback that is simple to use every day.
From Data to Insight in Minutes
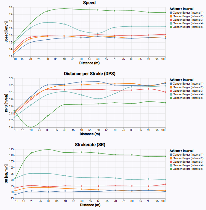
In the example below, a 5x100m interval session was recorded with an Oculus. The split distance, which can be set individually for each session, was set to 25m. Right after the training, the system generates graphs for speed, distance per stroke (DPS), and stroke rate (SR) for each interval, showing exactly how the athlete’s technique and pacing develop over the course of the intervals.

Alongside the graphs, a detailed table shows key metrics for every split:
- Time
- Average speed
- Distance per stroke (DPS)
- Stroke rate (SR)
- Number of strokes
- Drive ratio – ratio between power and recovery phases
- Effective work per stroke (eWPS) – power output per stroke
- Extra distance paddled – indicates how straight the athlete was paddling, highlighting unnecessary course deviations

More metrics are available and the templates can be customized to the needs of each user.
Furthermore, all data can be overlaid on time-synchronized video for a direct connection between technique and performance.
Why it Works
With Oculus, feedback is immediate and intuitive. Instead of waiting for hours or relying on subjective impressions, coaches can identify inefficiencies and test corrections during the same session.
For competition analysis, the system helps create and verify pacing strategies to unlock every athletes full potential. Because our system is designed to be incredibly simple to use, it fits seamlessly into daily training routines without complicated setup or post-processing.
Are you ready to bring precision performance analysis to your kayak program?
Contact us for a free test and experience how Lympik can change the way you train and race.
.png)


